紫外(UV)响应有机半导体在军事和民用领域有着广泛的应用,如导弹预警、臭氧层监测、紫外通信和火焰检测等。为了实现准确的波段识别能力,窄带响应是紫外响应有机半导体的长期目标,它主要决定了有机光电探测器在非目标检测波段中的抗干扰性能。因此,开发具有优异窄带响应特性的有机半导体对特定紫外波段的检测至关重要。然而,紫外响应有机半导体通常具有较宽的带隙和较弱的分子间π-π耦合,这导致电荷传输效率较低。基于这两个问题,紫外范围内尚未实现高性能和窄带响应的有机半导体,因此有机紫外光探测器的抗干扰能力受到极大限制。
在此,国家杰青天津大学李立强教授课题组开发了一种可行的策略,合成了窄带紫外响应的有机半导体2,5-二苯基噻吩[3,2-b]噻吩(2,5-DPTT),通过调节吸收状态和分子间势能。低共轭核和非供体-受体结构有效抑制了电荷转移态的吸收,导致有机半导体在深紫外范围内的窄带吸收。通过调节分子内扭转角度和分子间相互作用力,增强了分子间势能,确保了良好的电荷传输效率。因此,2,5-DPTT在窄带吸收和高电性能之间实现了有效平衡。基于2,5-DPTT的紫外光探测器在约310 nm波长处实现了优异的窄带响应,并在深紫外范围内达到了创纪录的光敏度(P = 1.21 × 10⁶)。在火焰报警的示范应用中,基于2,5-DPTT单晶的火焰探测器表现出优异的火焰识别和抗干扰能力。这项工作不仅为设计窄带响应的有机半导体提供了思路,还展示了构建多功能光电器件的潜力。
相关成果以“Tuning Absorption State and Intermolecular Potential of Organic Semiconductors for Narrowband Ultraviolet Photodetection”为题发表在《Advanced Materials》上,第一作者为Yining Ma。

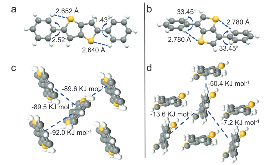
2,5-DPTT(图a)和3,6-DPTT(图b)分子结构示意图及分子间势能示意图(图cd)
2,5-DPTT OFETs的窄带光电响应特性示意图
抗干扰火焰探测器的示范应用
文章信息:Y. Ma, Q. Gao, Y. Li, et al. Tuning Absorption State and Intermolecular Potential of Organic Semiconductors for Narrowband Ultraviolet Photodetection[J]. Advanced Materials. 2025 , 7:e2414589. https://doi.org/10.1002/adma.202414589.